OHLC Forge Logo

OHLC Forge PRO

Daily Bars for Crypto Perpetuals in Your Time Zone

User Guide

📑 Table of Contents

  1. Introduction & Why Custom Time Zones Matter
  2. Licence Activation & Requirements
  3. Application Interface Overview
  4. Configuration Settings
  5. Operation Modes Explained
  6. Starting and Monitoring the Process
  7. Text Update Logs
  8. Output Data Format & Precision
  9. Time Zone Quick Reference
  10. Typical Workflow Examples
  11. Frequently Asked Questions
  12. Important Disclaimer

1. Introduction & Why Custom Time Zones Matter

OHLC Forge PRO is a professional-grade application designed specifically for systematic cryptocurrency traders who need historical daily OHLCV (Open, High, Low, Close, Volume) data with custom daily bar closing times.

🎯 The Problem with Default Daily Bars

Most cryptocurrency exchanges close their daily candles at 00:00 UTC. This is an international standard, but it creates a real problem for systematic traders who need to update their data and place orders every day.

🌙

Default: UTC+0

00:00 – 02:00

Daily bar closes at midnight UTC

For most traders, this means staying up late at night or waking up in the middle of the night to update data and place orders.

Custom Time Zone

21:00 – 22:00

Daily bar closes at your chosen time

Update your data, place your orders, and go to bed at a reasonable hour. Same trading system, same logic, better lifestyle.

✨ Key Benefits

2. Licence Activation & Requirements

OHLC Forge PRO is a professional tool that requires a valid licence to operate. The activation process is quick and designed to protect your purchase while providing flexibility.

🔑 How to Activate

  1. First Launch: When you open the application for the first time, a licence dialog will appear.
  2. Enter Your Key: Paste the licence key you received in your Gumroad confirmation email.
  3. Online Verification: Click "Activate". The app will securely connect to our servers to validate your key.

Activation Rules

  • 2 Devices Max: Each licence allows you to activate the software on up to two (2) different computers at the same time (e.g., your workstation and a laptop).
  • Transparent Hardware ID: The licence is tied to your hardware. If you upgrade your PC, you may need to reset your activations (contact support if needed).

💾 Important: The Licence File

Once activated, a small file named licence_data.json is created.

  • Launch the App: Use the Launch_OHLC_Forge_PRO.exe file in the main folder to start the application.
  • Licence Location: The licence file licence_data.json is stored inside the OHLC_Forge_Pro subfolder.
  • Keep them together: The licence file MUST remain in the same folder as the main application file (OHLC_Forge_PRO.exe inside the OHLC_Forge_Pro subfolder).
  • Moving the App: The application is designed to work as a complete package. If you want to move the program to a different location, always move the entire main folder as a whole. Do not move Launch_OHLC_Forge_PRO.exe without the OHLC_Forge_Pro subfolder and its contents.
  • Do not share: This file contains your encrypted access token. Never share this file with anyone.
Internet Connection: An active internet connection is required not only for activation, but also because the core purpose of this tool is to download and update real-time data—making it unusable without a connection.

3. Application Interface Overview

OHLC Forge PRO features a clean, professional graphical interface designed for ease of use. The application automatically adapts to your screen resolution and DPI settings.

OHLC Forge PRO Main Window

Figure 1: The OHLC Forge PRO interface showing independent folders for each exchange

The interface is divided into four main areas:

  1. Configuration Panel: Select exchanges, output folder, and time zone settings
  2. Operation Mode Panel: Choose the type of data operation to perform
  3. Control Buttons: Start and Stop buttons to control the download process
  4. Status Area: Progress bar and console showing real-time status updates

4. Configuration Settings

Configuration Panel

Figure 2: The Configuration panel with independent folder selection for each exchange

📡 Exchanges

Select which exchanges to download data from:

Binance Perpetuals

Downloads all USD-margined perpetual futures contracts from Binance. This typically includes 600+ trading pairs.

Output subfolder: /Binance/

File naming: BTCUSDT.csv, ETHUSDT.csv, etc.

Bybit Perpetuals

Downloads all USDT-margined linear perpetual contracts from Bybit. This typically includes 600+ trading pairs.

Output subfolder: /Bybit/

File naming: BTCUSDT.csv, ETHUSDT.csv, etc.

You can select both exchanges simultaneously. They are processed in parallel, and you can set separate destination folders for each to keep your data perfectly organized.

📁 Data Folders

Each exchange has its own independent Data Folder path. This allows you to store Binance and Bybit data on different drives or in specific project directories.

🛑 Folder Collision Prevention

OHLC Forge PRO includes a safety check: Binance and Bybit must use different destination folders. This prevents files with the same name (like BTCUSDT.csv) from overwriting each other or causing data corruption.

🕐 Daily Bar Time Zone

This is the most important setting. It determines when your daily bars close. The dropdown offers 41 options from UTC−20 to UTC+20.

Each option shows:

Understanding "Same Day" vs "Next Day"

Same day: The bar labelled "15/01/2025" closes at the specified UTC time on 15 January.
Next day: The bar labelled "15/01/2025" closes at the specified UTC time on 16 January (i.e., the session ends on the next calendar day).

This matches how traditional markets handle overnight sessions.

Hover over the time zone dropdown to see a detailed tooltip showing exactly which 24-hour period is captured for today's bar.

5. Operation Modes Explained

Operation Mode Panel

Figure 3: The Operation Mode panel with three mode options and the optional start date field

OHLC Forge PRO offers three distinct operation modes to suit different scenarios:

📥

Update (Append new data only from last or specified date)

Best for: Daily/weekly routine updates
What it does: Looks at each existing CSV file, finds the last date, and downloads only the missing days after that date.
Data handling: Existing data is preserved; new data is appended to the end of each file.

Use this mode for regular maintenance. It's the fastest option because it only downloads what's missing.
🔍

Fill Gaps (Complete missing historical data from first or specified date)

Best for: Fixing incomplete data, recovering from interrupted downloads
What it does: Scans each file for any missing dates within the data range, downloads only those missing days, and then sorts the file chronologically.
Data handling: Existing data is preserved; missing days are inserted and the file is re-sorted.

If a previous download was interrupted or you suspect some days are missing, use this mode to repair your data files without re-downloading everything.
🔄

Redownload (Overwrite history from first or specified date)

Best for: Complete rebuilds, changing time zone settings, fixing corrupted data
What it does: Deletes all data from the specified "Start Date" onwards, then re-downloads everything from that date.
Data handling: Data before the start date is preserved; data from the start date onwards is replaced.

⚠️ Caution: This mode will delete existing data. If you don't specify a start date, it defaults to 01/01/2020, effectively rebuilding your entire database.

📅 Start Date (Optional)

The "Start Date" field is used differently depending on the mode:

Mode Start Date Purpose Default if Empty
Update Sets the earliest date to consider for new files (existing files use their last date) 01/01/2020
Fill Gaps Sets the earliest date to scan for gaps 01/01/2020
Redownload All data from this date onwards will be deleted and re-downloaded 01/01/2020

Date format: YYYY-MM-DD (e.g., 2025-01-15)

6. Starting and Monitoring the Process

Execution Controls and Status

Figure 4: The START PROCESS and STOP buttons with progress bar and console output

▶ START PROCESS

Click the blue "START PROCESS" button to begin downloading data. Before starting, the application validates your settings:

■ STOP

Click the red "STOP" button to gracefully terminate the download process. Currently running tasks will complete before stopping—this prevents data corruption.

📊 Progress Bar

The progress bar shows overall completion percentage across all selected exchanges and all trading pairs. It updates in real-time as files are processed.

📝 Console Output

The console window displays detailed status messages including:

Files showing 100% in dark text are complete. Files showing progress in red are still being processed. The console reports which "Run" (pass) and "Attempt" is currently active.

7. Text Update Logs

For professional record-keeping, OHLC Forge PRO generates a detailed Text Log for every session.

Example Text Log

Figure 5: A summary log file showing successful updates, retries, and failed markets

📂 Where to find them?

A Logs folder is automatically created inside each exchange's data directory. Each log is named after the session start time (e.g., 2025-03-07_19-30-15.txt).

📑 What's in the log?

8. Output Data Format & Precision

OHLC Forge PRO generates standard CSV files compatible with virtually any trading software, including AmiBroker, TradingView, Excel, Python (pandas), and more.

📋 CSV Structure

Each CSV file contains the following columns (no header row):

Column Format Description
1. Date YYYYMMDD Trading day (e.g., 20251201 for 1 December 2025)
2. Open Decimal Opening price of the daily bar
3. High Decimal Highest price during the day
4. Low Decimal Lowest price during the day
5. Close Decimal Closing price of the daily bar
6. Turnover Integer Trading volume in quote currency (USD)

🎯 Professional Decimal Precision

One of OHLC Forge PRO's key advantages is its correct and official decimal precision for all markets. The application retrieves the official tick size (price precision) from each exchange and formats all prices accordingly.

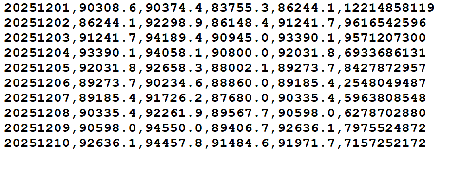
📈 High-Price Market (BTC)

Bitcoin trades with 1 decimal place precision:

20251201,90308.6,90374.4,83755.3,86244.1,12214858119
20251202,86244.1,92298.9,86148.4,91241.7,9616542596
20251203,91241.7,94189.4,90945.0,93390.1,9571207300
20251204,93390.1,94058.1,90800.0,92031.8,6933686131
20251205,92031.8,92658.3,88002.1,89273.7,8427872957

Note: All prices show exactly 1 decimal place, matching Binance's official tick size for BTCUSDT.

💎 Low-Price Market (Meme Coin)

Markets like 1000000BABYDOGEUSDT use 7 decimal places:

20251201,0.0006972,0.0006982,0.0006300,0.0006585,1068182
20251202,0.0006585,0.0007163,0.0006510,0.0007028,859501
20251203,0.0007028,0.0007599,0.0007028,0.0007516,1067822
20251204,0.0007516,0.0007654,0.0007113,0.0007137,573909
20251205,0.0007137,0.0007195,0.0006547,0.0006754,1108743

Note: All prices show exactly 7 decimal places, including trailing zeroes (e.g., 0.0006300) for visual consistency.

✅ Why This Matters

  • Accuracy: Prices match exactly what the exchange reports—no rounding errors
  • Consistency: Every price in a file has the same number of decimal places for easy reading and parsing
  • No Scientific Notation: Some exchanges export tiny prices as 6.3e-4—OHLC Forge always uses standard decimal notation
  • Import Compatibility: Clean decimal format works perfectly with AmiBroker, TradingView, pandas, and other tools
Sample BTC Output Data

Figure 6: Sample output for BTCUSDT with 1 decimal place precision

Sample Low-Price Token Output Data

Figure 7: Sample output for a low-price token with 7 decimal places, showing trailing zeroes preserved

🔍 Visual Verification: How UTC+3 Daily Bars Work

To understand exactly how OHLC Forge PRO builds daily bars from hourly data, let's examine a real example using UTC+3 (the recommended setting for UK traders).

UTC+3 Session Timing

With UTC+3 selected, each daily bar captures a 24-hour period that:

  • Opens at 21:00 UTC on the previous calendar day
  • Closes at 21:00 UTC on the labelled date

For example, the bar labelled 2025-12-02 covers the period from 21:00 UTC on 1 December to 21:00 UTC on 2 December.

The screenshot below shows an hourly chart of BTCUSDT. Notice the candle at 21:00 London time (21:00 UTC) on 1 December 2025—this is the first hour of the trading day labelled "2 December" in UTC+3 data. Its opening price is 85,464.80.

Hourly chart showing UTC+3 session open

Figure 8: Hourly BTCUSDT chart — the candle at 21:00 London (21:00 UTC) on 1 December marks the start of the "2 December" daily bar in UTC+3

Now look at the CSV output generated by OHLC Forge PRO with UTC+3 setting. The row for 20251202 (2 December 2025) shows an OPEN price of 85464.8—exactly matching the opening price of that 21:00 London candle.

CSV data showing correct OPEN price

Figure 9: CSV output for BTCUSDT — the OPEN price for 2 December 2025 (85464.8) matches the hourly candle from 21:00 London on 1 December

✅ Verification Complete

This confirms that OHLC Forge PRO correctly aggregates hourly data into daily bars according to your chosen time zone. The daily bar labelled "2 December" begins precisely at 21:00 UTC (21:00 London) on 1 December, capturing the correct 24-hour trading session for UTC+3.

You can verify this yourself: open any trading platform showing hourly candles, find the candle at your chosen session start time, and compare its opening price with the OPEN value in your OHLC Forge PRO output file for that trading session's date.

9. Time Zone Quick Reference

Find your location and recommended setting for convenient evening (21:00–22:00) data updates:

Location Local Offset Default Close
(00:00 UTC)
Problem Recommended
Setting
New Close
(Local Time)
DE Germany UTC+1 / +2 01:00 / 02:00 🌙 Middle of night UTC+4 ✨ 21:00 / 22:00
GB UK UTC+0 / +1 00:00 / 01:00 🌙 Midnight UTC+3 ✨ 21:00 / 22:00
CN China UTC+8 08:00 🏃 Morning rush UTC+11 ✨ 21:00
JP Japan UTC+9 09:00 💼 Work hours UTC+11 ✨ 22:00
NZ New Zealand UTC+12 / +13 12:00 / 13:00 🍽️ Lunch break UTC+15 ✨ 21:00 / 22:00
AU Sydney UTC+10 / +11 10:00 / 11:00 💼 Work hours UTC+13 ✨ 21:00 / 22:00
US Los Angeles UTC−8 / −7 16:00 / 17:00 💼 Still at work UTC−5 ✨ 21:00 / 22:00
US New York UTC−5 / −4 19:00 / 20:00 🍽️ Dinner time UTC−2 ✨ 21:00 / 22:00
BR São Paulo UTC−3 21:00 ✓ Already good! UTC+0 ✨ 21:00

Note: Times shown as "winter / summer" for locations with Daylight Saving Time. The second time in each cell applies during DST (summer time).

⚠️ Important: UTC Offsets Are Fixed, Your Local Time Changes

The time zone settings in OHLC Forge (e.g., UTC+4) are fixed UTC offsets, not dynamic time zones that adjust for Daylight Saving Time (DST).

This means that if you select UTC+4 (bar closes at 20:00 UTC):

  • Winter (e.g., Berlin = UTC+1): 20:00 UTC = 21:00 local time
  • Summer (e.g., Berlin = UTC+2): 20:00 UTC = 22:00 local time

The daily bar always closes at exactly the same moment in UTC. However, your local clock time for that moment will shift by 1 hour when your region switches between standard time and daylight saving time.

Plan your daily routine accordingly — your data update time will be one hour later (in local time) during summer months in DST regions.

10. Typical Workflow Examples

📋 Example 1: Initial Setup (First Time Use)

  1. Launch the application using Launch_OHLC_Forge_PRO.exe
  2. Select both exchanges: ☑ Binance Futures ☑ Bybit Unified
  3. Browse and select separate folders for both Binance and Bybit
  4. Choose your preferred time zone (e.g., UTC+3 for European evening close)
  5. Select "Redownload" mode
  6. Leave "Start Date" empty (will download from 1 January 2020)
  7. Click ▶ START PROCESS
  8. Wait for completion (Optimized: only 10–20 minutes for the whole database)

📋 Example 2: Daily Update Routine

  1. Launch the application using Launch_OHLC_Forge_PRO.exe (settings are saved from last session)
  2. Ensure "Update" mode is selected
  3. Click ▶ START PROCESS
  4. Wait for completion (typically 2–5 minutes)
  5. Your data files include today's completed bar

📋 Example 3: Fixing Data After an Interrupted Download

  1. Launch the application using Launch_OHLC_Forge_PRO.exe
  2. Select "Fill Gaps" mode
  3. Optionally set a "Start Date" to limit the scan range
  4. Click ▶ START PROCESS
  5. The application will find and download any missing days, then sort all files

📋 Example 4: Changing Your Time Zone Setting

⚠️ If you change your time zone setting, you should rebuild all data files to maintain consistency.
  1. Launch the application using Launch_OHLC_Forge_PRO.exe
  2. Select your new time zone from the dropdown
  3. Select "Redownload" mode
  4. Set "Start Date" to the earliest date you need (or leave empty for full rebuild)
  5. Click ▶ START PROCESS
  6. All data from the start date onwards will be recalculated with the new time zone

11. Frequently Asked Questions

Will my trading system perform differently with custom time zone data?

Results should be very similar, though minor differences are expected. The underlying price movements are the same—you're just slicing the 24-hour periods at different points. If your backtest results change significantly when shifting the daily bar close time by a few hours, this is a strong indicator that your system may be overfitted (curve-fitted) to specific data artefacts rather than capturing genuine market behaviour.

Why do exchanges use UTC+0 by default?

UTC (Coordinated Universal Time) is the international standard for timekeeping. It's neutral and doesn't favour any particular region. However, "neutral" for the world often means "inconvenient" for individual traders who need to act on the data every day.

Can I use multiple time zone settings for the same symbols?

Yes! You can run the tool multiple times with different settings and save to different folders if you wish to compare or use multiple time zone versions of your data.

What about weekends? Crypto trades 24/7.

Correct—crypto markets never close. Your daily bars will be continuous, including Saturday and Sunday. The time zone setting simply determines when each 24-hour period begins and ends.

How is this different from simply using exchange data?

Exchange data only provides UTC+0 daily bars (closing at midnight UTC). OHLC Forge downloads hourly data and reconstructs daily bars according to your chosen time zone. This is the only way to obtain custom time zone daily data for crypto.

Why does the application use hourly data instead of daily data?

Daily data from exchanges is pre-aggregated to UTC+0. To create custom time zone daily bars, the application must download hourly OHLCV data and then aggregate it into daily bars based on your specified session times. This is more data-intensive but is the only accurate method.

My settings are remembered—where are they stored?

Settings are saved to settings.json located inside the OHLC_Forge_Pro subfolder. This includes your selected exchanges, output folder, time zone, operation mode, and start date.

Write Permissions: If your settings are not being saved, ensure the application folder is not in a restricted location (like C:\Program Files\) or run the program as Administrator to grant it write access.

What happens if my download is interrupted?

Use "Fill Gaps" mode to scan for any missing days and download only what's needed. The application is designed to be resumable—you won't lose completed work.

12. Legal Disclaimer and Terms of Use

1. Software Tool Nature: OHLC Forge PRO ("the Software") is a technical utility designed solely to facilitate the downloading and processing of public market data. The Software is sold strictly as a data processing tool. It does not contain, resell, or distribute any financial market data, historical price data, or exchange feeds.

2. Third-Party Libraries: The Software utilises the open-source CCXT library (MIT Licence) to interface with cryptocurrency exchanges. CCXT is an independent project and is not affiliated with OHLC Forge PRO.

3. User-Initiated Data Access: All data processed by the Software is downloaded directly by the user from third-party exchanges (e.g., Binance, Bybit) using their public Application Programming Interfaces (APIs). The Software acts merely as an interface to execute these requests on the user's behalf and on the user's local machine.

4. User Responsibility: You, the user, acknowledge that you are accessing these APIs directly. It is your sole responsibility to ensure that your use of these APIs, including the frequency and purpose of data requests, complies with the respective Terms of Service, API Usage Policies, and rate limits as published by each exchange. Violations of exchange rate limits may result in temporary or permanent API access restrictions imposed by the exchange, for which the developer bears no responsibility.

5. No Affiliation: OHLC Forge PRO is an independent software product and is not affiliated with, endorsed by, sponsored by, or in any way officially connected with Binance, Bybit, CCXT, or any of their subsidiaries or affiliates. "Binance" and "Bybit" are registered trademarks of their respective owners.

6. No Financial Advice & "As Is" Warranty: This Software is provided "as is", without warranty of any kind, express or implied. The developer makes no representations or warranties regarding the accuracy, completeness, or reliability of the data fetched by the Software. Nothing in this product or documentation constitutes financial, investment, or trading advice. Past performance of any trading system does not guarantee future results.

7. LIMITATION OF LIABILITY: IN NO EVENT SHALL THE DEVELOPER, COPYRIGHT HOLDERS, OR CONTRIBUTORS BE LIABLE FOR ANY INDIRECT, INCIDENTAL, SPECIAL, EXEMPLARY, CONSEQUENTIAL, OR PUNITIVE DAMAGES, INCLUDING BUT NOT LIMITED TO LOSS OF PROFITS, DATA, OR USE, ARISING OUT OF OR IN CONNECTION WITH THE USE OF THIS SOFTWARE, REGARDLESS OF THE CAUSE OF ACTION OR THE THEORY OF LIABILITY, EVEN IF ADVISED OF THE POSSIBILITY OF SUCH DAMAGES.